MEASUREMENT OF CLASSIFICATION PERFORMANCE WITH THE LEARNING VECTOR QUANTIZATION METHOD ON COVID-19 VACCINATION DATA AT THE PARUMPANAI HEALTH CENTER
DOI:
https://doi.org/10.25077/jmua.13.2.131-141.2024Keywords:
classification, COVID-19, learning vector quantization, vaccinationAbstract
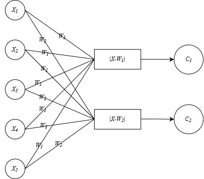
In the midst of the COVID-19 pandemic, various countries are always trying their best to restore global stability. One effective way is the discovery of several vaccines to prevent transmission of the virus. Indonesia is one of the countries that is aggressively implementing the COVID-19 vaccination. The vaccination process which has been carried out from February 2021 until the end of 2021 has covered approximately 160 million people or 76.83% of the target set by the government. Vaccine recipients have criteria to be able to get vaccinated to avoid side effects or complications. So it is necessary to classify groups that can receive vaccines and also delay vaccination. This research aims to determine the performance of the learning vector quantization classification method. Learning vector quantization method classification produces 95% accuracy, 97% precision, and 96% sensitivity. From these performance measurements, it can be concluded that the learning vector quantization method is very good and can be used in the classification of COVID-19 vaccination recipients at the Parumpanai Public Health Center, East Luwu Regency.References
Makmun, A., Hazhiyah, S. F., 2020, Tinjauan Terkait Pengembangan Vaksin Covid 19, Molucca Medica, 2020 : 52 – 59
Febriyanti, N., Choliq, M. I., and Mukti, A. W., 2021, Hubungan tingkat pengetahuan dan kesediaan vaksinasi covid-19 pada warga kelurahan dukuh menanggal kota surabaya, SNHRP, 2021 : 36 – 42
Wang, J., Jing, R., Lai, X., Zhang, H., Lyu, Y., Knoll, M. D., and Fang, H., 2020, Acceptance of COVID-19 Vaccination during the COVID-19 Pandemic in China, Vaccines, 8(3) : 482
Haynes, B.F., Corey, L., Fernandes, P., Gilbert, P.B., Hotez, P.J., Rao, S., Santos, M.R., Schuitemaker, H., Watson, M. and Arvin, A., 2020, Prospects for a safe COVID-19 vaccine, Science translational medicine, 12(568): eabe0948
Ichsan, D.S., Hafid, F., Ramadhan, K. and Taqwin, T., 2021, Determinan kesediaan masyarakat menerima vaksinasi Covid-19 di Sulawesi Tengah, Poltekita: Jurnal Ilmu Kesehatan, 15(1) : 1 – 11
Soares, P., Rocha, J.V., Moniz, M., Gama, A., Laires, P.A., Pedro, A.R., Dias, S., Leite, A. and Nunes, C., 2021, Factors associated with COVID-19 vaccine hesitancy, Vaccines, 9(3): 300
Han, J., Pei, J. and Tong, H., 2022, Data mining: concepts and techniques, Morgan kaufmann.
Tomia, S., Leleury, Z.A. and Aulele, S.N., 2017, Perbandingan Metode Jaringan Saraf Tiruan Backpropagation Dan Learning Vector Quantization Dalam Deteksi Hama Pengerek Batang, BAREKENG: Jurnal Ilmu Matematika dan Terapan, 11(1): 13 – 26
Heo, S. and Lee, J.H., 2018, Fault detection and classification using artificial neural networks, IFAC-PapersOnLine, 51(18): 470 – 475
Jo, J.M., 2019, Effectiveness of normalization pre-processing of big data to the machine learning performance, The Journal of the Korea institute of electronic communication sciences, 14(3): 547 – 552
Khan, S.A and Rana, Z.A., 2019, Evaluating Performance of Software Defect Prediction Models Using Area Under Precision-recall Curve (AUC-PR),2nd International Conference on Advancements in Computational Sciences (ICACS),pp. 1-6
Downloads
Additional Files
- MEASUREMENT OF CLASSIFICATION PERFORMANCE WITH THE LEARNING VECTOR QUANTIZATION METHOD ON COVID-19 VACCINATION DATA AT THE PARUMPANAI HEALTH CENTER
- MEASUREMENT OF CLASSIFICATION PERFORMANCE WITH THE LEARNING VECTOR QUANTIZATION METHOD ON COVID-19 VACCINATION DATA AT THE PARUMPANAI HEALTH CENTER
- MEASUREMENT OF CLASSIFICATION PERFORMANCE WITH THE LEARNING VECTOR QUANTIZATION METHOD ON COVID-19 VACCINATION DATA AT THE PARUMPANAI HEALTH CENTER
- MEASUREMENT OF CLASSIFICATION PERFORMANCE WITH THE LEARNING VECTOR QUANTIZATION METHOD ON COVID-19 VACCINATION DATA AT THE PARUMPANAI HEALTH CENTER
- MEASUREMENT OF CLASSIFICATION PERFORMANCE WITH THE LEARNING VECTOR QUANTIZATION METHOD ON COVID-19 VACCINATION DATA AT THE PARUMPANAI HEALTH CENTER
- MEASUREMENT OF CLASSIFICATION PERFORMANCE WITH THE LEARNING VECTOR QUANTIZATION METHOD ON COVID-19 VACCINATION DATA AT THE PARUMPANAI HEALTH CENTER
- MEASUREMENT OF CLASSIFICATION PERFORMANCE WITH THE LEARNING VECTOR QUANTIZATION METHOD ON COVID-19 VACCINATION DATA AT THE PARUMPANAI HEALTH CENTER
- MEASUREMENT OF CLASSIFICATION PERFORMANCE WITH THE LEARNING VECTOR QUANTIZATION METHOD ON COVID-19 VACCINATION DATA AT THE PARUMPANAI HEALTH CENTER
Published
Issue
Section
License
All articles published in Jurnal Matematika UNAND (JMUA) are open access and licensed under the Creative Commons Attribution-ShareAlike (CC BY-SA) license. This ensures that the content is freely available to all users and can be shared and adapted, provided appropriate credit is given and any adaptations are distributed under the same license.
Copyright Holder
The copyright of all articles published in Jurnal Matematika UNAND is held by the Departemen Matematika dan Sains Data, Fakultas Matematika dan Ilmu Pengetahuan Alam (FMIPA), Universitas Andalas (UNAND). This applies to all published versions, including the HTML and PDF formats of the articles.
Author Rights
While the Departemen Matematika dan Sains Data FMIPA UNAND holds the copyright for all published content, authors retain important rights under the Creative Commons Attribution-ShareAlike 4.0 International License (CC BY-SA). This license grants authors and users the following rights:
- Reuse: Authors can reuse and distribute their work for any lawful purpose, including sharing on personal websites, institutional repositories, or in subsequent publications.
- Attribution and Adaptation: Authors and others may remix, adapt, and build upon the published work for any purpose, even commercially, as long as proper credit is given to the original authors, and any derivative works are distributed under the same CC BY-SA license.
Creative Commons License (CC BY-SA)
Under the terms of the CC BY-SA license, users are free to:
- Share: Copy and redistribute the material in any medium or format.
- Adapt: Remix, transform, and build upon the material for any purpose, even commercially.
However, the following conditions apply:
- Attribution: Users must give appropriate credit to the original author(s) and Departemen Matematika dan Sains Data FMIPA UNAND, provide a link to the license, and indicate if changes were made. Attribution must not imply endorsement by the author or the journal.
- ShareAlike: If users remix, transform, or build upon the material, they must distribute their contributions under the same license as the original.
For more information about the CC BY-SA license, please visit the Creative Commons website.
Third-Party Content
If authors include third-party material (such as figures, tables, or images) that is not covered by a Creative Commons license, they must obtain the necessary permissions for reuse and provide proper attribution. Authors are required to ensure that any third-party content complies with open-access licensing requirements or includes permissions for redistribution under similar terms.
Copyright and Licensing Information Display
The copyright and licensing terms will be clearly displayed on each article's landing page, as well as within the full-text versions (HTML and PDF) of all published articles.
No "All Rights Reserved"
As an open-access journal, JMUA does not use "All Rights Reserved" policies. Instead, the CC BY-SA license ensures that the works remain accessible and reusable for a wide audience while still protecting both the authors' and the copyright holder's rights.
Â









